产品中心

10.N,N',N'',N''',N''''-五乙酰基壳五糖


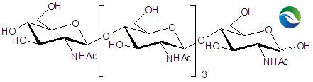
N,N',N'',N''',N''''-五乙酰基壳五糖

【产品编号】SCN05

【英文名】N-acetylated chitopentaose

【分子式】C40H67N5O26

【分子量】1033.98

【CAS】36467-68-2

【纯度】按高效液相色谱法测定含量不低于95%

【规格】10mg、50mg、100mg、500mg、1g

【结构式】

10.N,N,N,N,N-五乙酰基壳五糖(图1)

备注:上述信息,均基于科研、探讨为目的

   上一篇 : 11.N,N',N'',N''',N'''',N'''''-六乙酰基壳六糖
  下一篇 : 9.N,N',N'',N'''-四乙酰基壳四糖