
英文名:Guluronate
oligosaccharides
商标:OLIGO G 奥力高固®
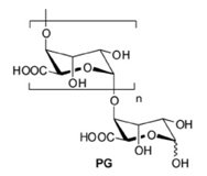
结构式:

褐藻酸是由α-1,4-L-古罗糖醛酸(α-1,4-L-guluronic acid,简称G)和β-1,4-D-甘露糖醛酸(β-1,4-D-mannuronic acid,简称M)通过1→4糖苷键连接而成的直链多糖。其中聚甘露糖醛酸片段、聚古罗糖醛酸片段是其重要组成片段。聚古罗糖醛酸(PG)经降解可制备一系列的古罗糖醛酸寡糖。
技术优势:
1、我公司寡糖产品是2009年“国家科学技术发明一等奖”成果产业化项目。
2、我公司褐藻寡糖是著名海洋药物学家——管院士潜心研究20多年,采用几十道特殊工艺程序萃取的海藻精华成分。
3、我公司是国家高新技术企业,拥有发明专利7项。可以从海洋生物中萃取、分离、提纯、定性、定量海洋寡糖标准物质和原料中间体。
4、我公司制备有古罗糖醛酸寡糖从单糖至十糖的标准品,最高纯度可达98%。
备注:上述信息,均基于科研、探讨为目的