产品中心

6.L-古罗糖醛酸六糖


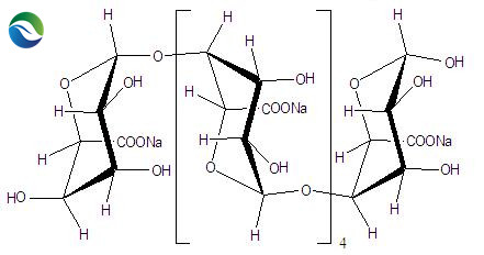
L-古罗糖醛酸六糖

        【产品编号】SAG06

【英文名】L-Hexaguluronic Acid Hexasodium Salt, Hexa-Guluronic Acid Sodium Salt

【分子式】C36H44O37Na6

【分子量】1206.65

【纯度】按高效凝胶渗透色谱法测定含量不低于96%。

【规格】10mg、50mg、100mg

【结构式】

6.L-古罗糖醛酸六糖(图1)

备注:上述信息,均基于科研、探讨为目的

   上一篇 : 7.L-古罗糖醛酸七糖
  下一篇 : 5.L-古罗糖醛酸五糖