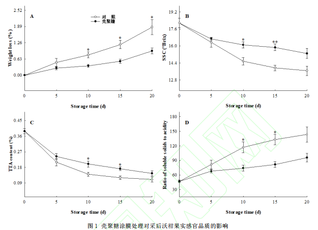
自然晾干后的沃柑果实随机分成2组,每组120个果实。处理组用2%壳聚糖溶液浸泡2 min,另一组沃柑果实在1%乙酸溶液中浸泡相同时间作为对照。处理组和对照组果实自然晾干后,每4个果实分装在1个聚乙烯薄膜袋中。所有果实置于(25 ± 1)℃ 、相对湿度85% ± 5%条件下贮藏20d,在贮藏第0,5,10,15,20天分别测定处理组和对照组的果实失重率、相对电导率、可溶性固形物含量和TTA。
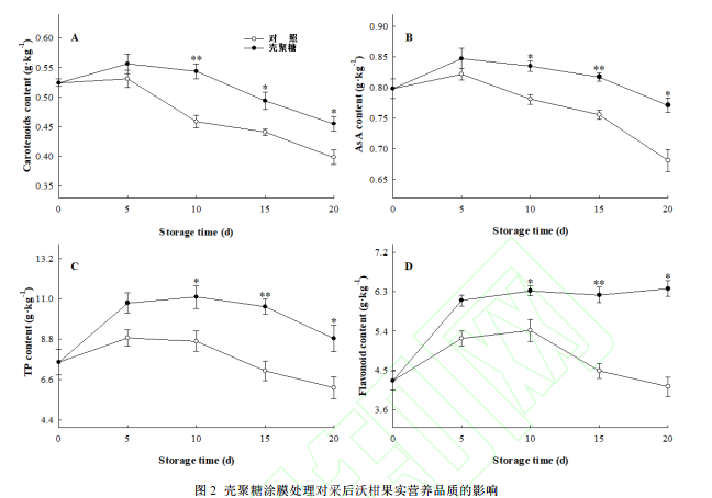
本文研究了2%壳聚糖涂膜处理,对采后沃柑果实在25℃贮藏期间,果实贮藏和营养品质、膜透性及能量代谢的影响。结果显示:壳聚糖有效延缓了采后沃柑果实在贮藏期间可溶性固形物、总可滴定酸含量的下降,失重率和固酸比的上升;有效抑制了类胡萝卜素、抗坏血酸、总酚和类黄酮含量的下降。
研究表明,壳聚糖显著抑制了膜透性上升,表现为贮藏期间果实组织更低的相对电导率和丙二醛含量。此外,壳聚糖通过诱导H+-ATPase、Ca2+-ATPase、琥珀酸脱氢酶、细胞色素C氧化酶活性,使沃柑果实在贮藏期间维持较高的能量状态,表现为三磷酸腺苷和能荷水平上升。

(A.干燥失重 B.可溶性固形物 C.总可滴定酸 D.可溶性固体对酸度的比率)

(A.类胡萝卜素含量 B.抗坏血酸含量 C.总酚含量 D.黄酮类化合物含量)
结论:2%壳聚糖涂膜处理可以通过提高果实能量水平维持膜系统完整性,进而延缓沃柑果实衰老,有效减缓沃柑果实在25 ℃贮藏期间的品质劣变。
源自《壳聚糖调节膜透性和能量代谢减缓沃柑果实采后品质劣变》